Abstract
Many patients with ET are intolerant of or have an inadequate response to current standards of care (SOC) - hydroxyurea (HU), interferon, or anagrelide. Lysine-specific demethylase-1 (LSD1) is an enzyme critical for the self-renewal potential of malignant cells and hematopoietic differentiation, e.g., LSD1 licenses progenitors to mature into megakaryocytes, a cell central to ET pathogenesis. Bomedemstat is an orally active LSD1 inhibitor that reduced peripheral cell counts, splenomegaly, inflammatory cytokines, mutant cell burdens and improved survival in mouse models of MPNs (Kleppe et al. 2015; Jutzi et al. 2018). IMG-7289-CTP-201 is a global, open-label, Phase 2b study of bomedemstat taken once daily for 24+ weeks in patients with ET who are resistant to or intolerant of at least one SOC treatment (NCT04254978).
Key eligibility criteria include the need for cytoreduction (age >60 or history of thrombosis), platelet count >450 x 109/L and hemoglobin ≥10 g/dL. Key objectives are safety and response, defined as platelets (plt) ≤400 x 109/L without new thromboembolic events. Exploratory endpoints include durability of response, reduction in WBCs, changes in mutant allele frequencies (MAF), and symptom improvement. Patients receive a starting dose of 0.6 mg/kg/d followed by dose titrations if necessary to a target platelet count of 200-400 x 109/L.
At data cut-off (20Jun2022), 73 patients had enrolled. Median age was 66 (42-92) yrs; median time since diagnosis was 81 months (N=71), and 60 patients had previously been treated with HU. Of the patients most recently treated with HU (N=51), 90% met ELN criteria for resistance/intolerance. 64% (47/73) received 1 prior cytoreductive therapy with 36% (26/73) receiving between 2 and 4. The Day 1 mean (range) platelet, WBC and Hb values were 809 x 109/L (457-2220), 8.8 x 109/L (3.7-43.1), and 13.0 g/dL (9.4-16.5), respectively. Median (range) MPN-SAF TSS at baseline was 16 (0-74). 32% (23/73) and 11% (8/73) of patients had a history of bleeding or thromboembolic events respectively. Extended sequencing of 261 genes in 53 patients identified mutations in JAK2 (51%), CALR (36%), and MPL (4%). 32% had more than one mutation of which 41% were high molecular risk mutations (U2AF1, IDH1/2, NPM1, RUNX1, EZH2, ASXL1, TP53).
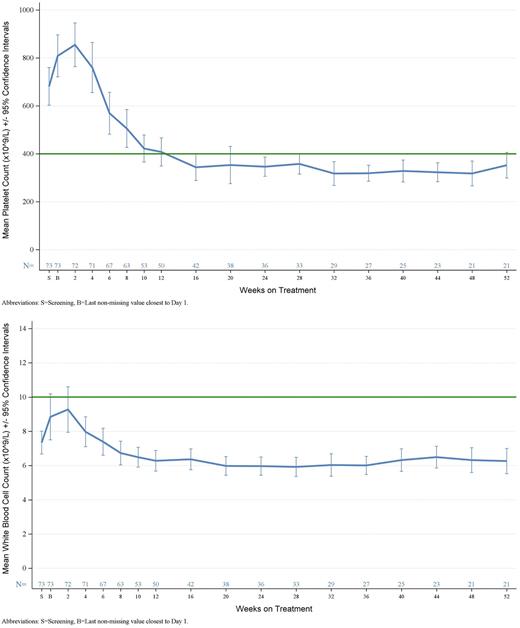
Median time on treatment was 23 weeks (0.1-84). For patients treated ≥24 weeks, 94% (34/36) achieved a platelet count response ≤400x109/L, without new thromboembolic events, in a median time of 8 weeks (Figure). One patient was diagnosed with a pulmonary embolism. 83% of patients (30/36) treated for ≥24 weeks maintained their platelet count response for ≥12 weeks. Of the 7/36 (19%) patients with Day 1 WBC count >10x109/L, 100% of those treated for ≥24 weeks had a reduction in WBC count to ≤10x109/L (Figure); mean hemoglobin remained stable at ≥10 g/dL. In patients with baseline MPN-SAF TSS >20 (28/73), at Week 24, 79% (11/14) experienced an improvement with 64% (9/14) improving ≥10-points. The median baseline score for worst fatigue was 4.0 (N=73). By Week 24, the median fatigue score had improved to 3.0 (N=35). At Week 24, 67% (N=24) had a decrease in allele frequencies. No new mutations were found.
In the safety population (N=73) the most common AEs (% patients, % patients with grade 3/4) regardless of causality were dysgeusia (43%, N/A), constipation (27%, 1%), fatigue (23%, 0%), thrombocytopenia (23%, 6%), arthralgia (21%, 3%), contusion (16%, 0%), and diarrhea (15%, 1%). Seventeen patients reported serious AEs (SAE), with related events (per the PI) in 2 patients. Fifteen patients discontinued treatment, 9 due to AEs (3 for dysgeusia), 3 subject decision, 1 investigator decision, 1 disease progression to MF, and 1 unrelated death due to aspiration pneumonia. There have been no safety signals or deaths related to drug. At the data cut-off date, 80% (58/73) of patients remain on study.
With this additional follow-up data, bomedemstat, in this ET patient population, continues to be generally well-tolerated, improves symptoms, reduces the mutation burden and, importantly durably reduces platelets and WBCs without adversely affecting hemoglobin.
Based on these data, a Phase 3 study of bomedemstat for the treatment of ET is being planned.
Disclosures
Palandri:CTI: Consultancy, Honoraria; AOP: Consultancy, Honoraria; Celgene: Consultancy, Honoraria; Sierra Oncology: Consultancy, Honoraria; Sobi: Consultancy, Honoraria; Novartis: Consultancy, Honoraria; Amgen: Consultancy, Honoraria; Kartos/Telios: Consultancy, Honoraria. Ross:Keros: Consultancy; Novartis: Consultancy, Honoraria, Membership on an entity's Board of Directors or advisory committees; Takeda: Membership on an entity's Board of Directors or advisory committees; Celgene: Research Funding; BMS: Honoraria. Cochrane:Beigene: Research Funding. Gerds:Imago BioSciences: Research Funding; Novartis: Consultancy, Membership on an entity's Board of Directors or advisory committees; CTI BioPharma: Membership on an entity's Board of Directors or advisory committees, Research Funding; Kratos Pharmaceuticals: Research Funding; Bristol Myers Squibb/Celgene: Consultancy, Membership on an entity's Board of Directors or advisory committees; Incyte Corporation: Research Funding; Accurate Pharmaceuticals: Research Funding; AbbVie: Consultancy, Membership on an entity's Board of Directors or advisory committees; Sierra Oncology: Consultancy, Membership on an entity's Board of Directors or advisory committees; Morphosys/Constellation: Consultancy, Membership on an entity's Board of Directors or advisory committees, Research Funding; PharmaEssentia: Consultancy, Membership on an entity's Board of Directors or advisory committees. Halpern:Incyte Pharmaceuticals: Research Funding; Jazz Pharmaceuticals: Research Funding; Gilead Sciences: Research Funding; Imago Biosciences: Research Funding; Novartis: Research Funding; Tolero Pharmaceuticals: Research Funding; Bayer Pharmaceuticals: Research Funding; Abbvie: Consultancy; Karyopharm Therapeutics: Research Funding; Notable Labs: Consultancy. Shortt:Mundipharma: Honoraria, Membership on an entity's Board of Directors or advisory committees, Speakers Bureau; Novartis: Membership on an entity's Board of Directors or advisory committees; Astellas: Membership on an entity's Board of Directors or advisory committees; BMS/Celgene: Membership on an entity's Board of Directors or advisory committees, Research Funding; Ostuka: Membership on an entity's Board of Directors or advisory committees; Amgen: Research Funding; Astex: Research Funding. Pettit:AbbVie, CTI Biopharma: Membership on an entity's Board of Directors or advisory committees, Research Funding; Blueprint Biomedicines, Image Biosciences, Kura Oncology, Macogenics, PharmaEssentia, Protagonis: Research Funding. Mead:Karyopharm: Consultancy, Speakers Bureau; Sierra Oncology: Consultancy, Speakers Bureau; Sensyn: Consultancy, Speakers Bureau; Incyte: Consultancy, Speakers Bureau; Galecto: Consultancy, Research Funding, Speakers Bureau; Pfizer: Consultancy, Speakers Bureau; Gilead: Consultancy, Speakers Bureau; Alethiomics Ltd: Consultancy, Current equity holder in private company, Other: Co-founder and equity holder, Research Funding; CTI: Consultancy, Speakers Bureau; AbbVie: Consultancy, Speakers Bureau; Celgene/BMS: Consultancy, Research Funding, Speakers Bureau; Novartis: Consultancy, Honoraria, Research Funding, Speakers Bureau. Vannucchi:Roche: Membership on an entity's Board of Directors or advisory committees; Morphosys: Membership on an entity's Board of Directors or advisory committees; Abbvie: Membership on an entity's Board of Directors or advisory committees; AOP Orphans Pharmaceuticals: Membership on an entity's Board of Directors or advisory committees, Speakers Bureau; BluePrint: Membership on an entity's Board of Directors or advisory committees, Other: NA; BMS: Honoraria, Membership on an entity's Board of Directors or advisory committees; GSK: Membership on an entity's Board of Directors or advisory committees, Other: NA; Incyte: Honoraria, Membership on an entity's Board of Directors or advisory committees; Novartis: Honoraria, Membership on an entity's Board of Directors or advisory committees, Speakers Bureau. Göthert:AOP Pharma: Honoraria, Membership on an entity's Board of Directors or advisory committees, Other: Travel support; Novartis: Honoraria, Membership on an entity's Board of Directors or advisory committees, Other: Travel support; Pfizer: Honoraria, Membership on an entity's Board of Directors or advisory committees; Ariad: Honoraria, Membership on an entity's Board of Directors or advisory committees; BMS: Honoraria, Membership on an entity's Board of Directors or advisory committees, Other: travel support; zr pharma&: Honoraria; Proteros Biostructures: Honoraria; Incyte: Membership on an entity's Board of Directors or advisory committees, Other: Travel support; Abbvie: Membership on an entity's Board of Directors or advisory committees; Imago Bioscience: Membership on an entity's Board of Directors or advisory committees; CTI Biopharma: Membership on an entity's Board of Directors or advisory committees. Passamonti:Novartis, Celgene, BMS, Abbvie, Janssen, Roche, AOP Orphan, Karyopharma, KYOWA KIRIN, Mei: Consultancy, Honoraria, Speakers Bureau; BMS: Research Funding. Harrison:Keros: Consultancy; Janssen: Membership on an entity's Board of Directors or advisory committees; Geron: Membership on an entity's Board of Directors or advisory committees; Shire: Membership on an entity's Board of Directors or advisory committees; Gilead: Membership on an entity's Board of Directors or advisory committees; MPN voice: Other: Leadership role; Constellation Pharmaceuticals, Inc., a MorphoSys Company: Membership on an entity's Board of Directors or advisory committees, Research Funding; Sierra: Honoraria; Galecto: Consultancy, Membership on an entity's Board of Directors or advisory committees; Incyte: Speakers Bureau; Galacteo: Membership on an entity's Board of Directors or advisory committees; AOP Pharma: Consultancy, Membership on an entity's Board of Directors or advisory committees; CTI BioPharma: Membership on an entity's Board of Directors or advisory committees; Celgene/BMS: Membership on an entity's Board of Directors or advisory committees, Research Funding; AbbVie: Membership on an entity's Board of Directors or advisory committees; Roche: Consultancy, Membership on an entity's Board of Directors or advisory committees; Promedior: Membership on an entity's Board of Directors or advisory committees; EHA: Other: Leadership role; Novartis: Membership on an entity's Board of Directors or advisory committees, Other: Support for attending meetings, Research Funding. Talpaz:SDp: Membership on an entity's Board of Directors or advisory committees; BMS: Consultancy; Novartis: Consultancy, Other: Grant/research support ; Kirin: Membership on an entity's Board of Directors or advisory committees; IMAGO: Consultancy; Takeda: Other: Grant/research support . Rienhoff:Imago BioSciences: Current Employment, Current equity holder in publicly-traded company.
Author notes
Asterisk with author names denotes non-ASH members.
